造价师之家 | 专业的建设工程造价信息网站
该建设工程工程量清单计价规范2013附录(含表格),是2013版建设工程工程量清单计价规范GB50500-2013的附录,是对工程量清单报表的规范。
建设工程工程量清单计价规范GB50500-2013附录(含表格)
建设工程工程量清单计价规范2013附录(含表格),建设工程工程量清单计价规范GB50500-2013的附录,主要是对工程量清单报表的规范和市场价格波动后的造价调整方法。
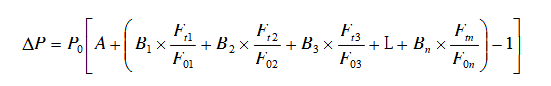
A.1.1 价格调整公式。因人工、材料和工程设备、施工机械台班等价格波动影响合同价格时,根据招标人提供的本规范附录L.3的表-22,并由投标人在投标函附录中的价格指数和权重表约定的数据,应按下式计算差额并调整合同价款:
	 
 
式中:
以上价格调整公式中的各可调因子、定值和变值权重,以及基本价格指数及其来源在投标函附录价格指数和权重表中约定。价格指数应首先采用工程造价管理机构提供的价格指数,缺乏上述价格指数时,可采用工程造价管理机构提供的价格代替。
A.2.1 施工期内,因人工、材料和工程设备、施工机械台班价格波动影响合同价格时,人工、机械使用费按照国家或省、自治区、直辖市建设行政管理部门、行业建设管理部门或其授权的工程造价管理机构发布的人工成本信息、机械台班单价或机械使用费系数进行调整;需要进行价格调整的材料,其单价和采购数应由发包人复核,发包人确认需调整的材料单价及数量,作为调整合同价款差额的依据。
A.2.2 人工单价发生变化且符合本规范第3.4.2条第2款规定的条件时,发承包双方应按省级或行业建设主管部门或其授权的工程造价管理机构发布的人工成本文件调整合同价款。
A.2.3 材料、工程设备价格变化按照发包人提供的本规范附录L.2的表-21,由发承包双方约定的风险范围按下列规定调整合同价款:
1 承包人投标报价中材料单价低于基准单价:施工期间材料单价涨幅以基准单价为基础超过合同约定的风险幅度值,或材料单价跌幅以投标报价为基础超过合同约定的风险幅度值时,其超过部分按实调整。
2 承包人投标报价中材料单价高于基准单价:施工期间材料单价跌幅以基准单价为基础超过合同约定的风险幅度值,或材料单价涨幅以投标报价为基础超过合同约定的风险幅度值时,其超过部分按实调整。
3 承包人投标报价中材料单价等于基准单价:施工期间材料单价涨、跌幅以基准单价为基础超过合同约定的风险幅度值时,其超过部分按实调整。
4 承包人应在采购材料前将采购数量和新的材料单价报送发包人核对,确认用于本合同工程时,发包人应确认采购材料的数量和单价。发包人在收到承包人报送的确认资料后3个工作日不予答复的视为已经认可,作为调整合同价款的依据。如果承包人未报经发包人核对即自行采购材料,再报发包人确认调整合同价款的,如发包人不同意,则不作调整。
A.2.4 施工机械台班单价或施工机械使用费发生变化超过省级或行业建设主管部门或其授权的工程造价管理机构规定的范围时,按其规定调整合同价款。
附录B 工程计价文件封面
	 
 
 
 
 
 
 
 
 
 
附录C 工程计价文件扉页
	 
 
 
 
本文可概况为一句话:建设工程工程量清单计价规范GB50500-2013附录(含表格),其来源于网络,了解更多信息请关注相关网站!
前一篇:建设工程造价鉴定规范全文